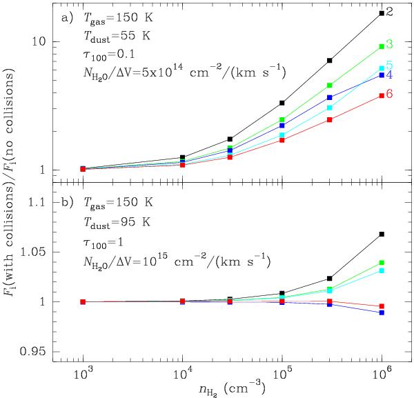
Fig. 4

Effect of collisional excitation on the H2O fluxes of the submm lines 2−6 as a function of nH2. The ordinates show the calculated line fluxes relative to the model that ignores collisional excitation. Tgas = 150 K is adopted in all models. a) In the case of moderate Tdust and low τ100, collisional excitation has a strong impact on the H2O fluxes at nH2 of a few × 104 cm-3, especially on line 2. b) Collisional excitation is negligible for high τ100 and very warm Tdust (note the difference in ordinate scales in a) and b)).
Current usage metrics show cumulative count of Article Views (full-text article views including HTML views, PDF and ePub downloads, according to the available data) and Abstracts Views on Vision4Press platform.
Data correspond to usage on the plateform after 2015. The current usage metrics is available 48-96 hours after online publication and is updated daily on week days.
Initial download of the metrics may take a while.