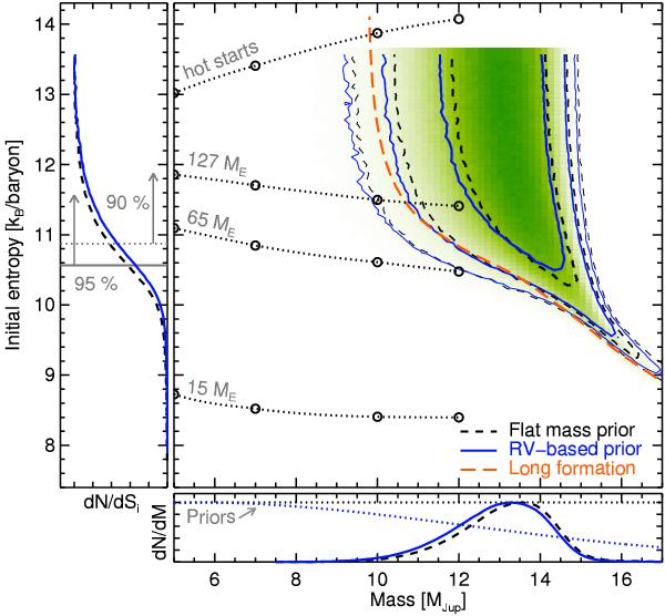
Fig. 4

Joint probability contours (68.3, 95, and 99%) on the mass and post-formation entropy of β Pic b from log (L/L⊙) = −3.90 ± 0.07 and an age of 21 ± 4 Myr using a flat prior on Si and a prior flat in mass (dashed black curves) or given by the radial-velocity and astrometry constraints for a linear K prior (solid dark-blue curves). Using the logarithmic-K prior of Fig. 1 gives nearly identical results. The long-dashed orange line shows the combinations matching log (L/L⊙) = −3.90 at 12 Myr, i.e. allowing for an extreme 9 Myr formation delay. The open circles indicate the cold-start post-formation entropies for different final core masses (labeled) or for hot starts (Mordasini 2013, App. B of MC14). The bottom panel displays the mass priors (dotted lines) and the marginalized posterior distributions (black and blue lines), whereas the side panel shows the marginalized Si posterior and the non-flat mass prior’s 90- and 95-% lower limits (up to Si ~ 14).
Current usage metrics show cumulative count of Article Views (full-text article views including HTML views, PDF and ePub downloads, according to the available data) and Abstracts Views on Vision4Press platform.
Data correspond to usage on the plateform after 2015. The current usage metrics is available 48-96 hours after online publication and is updated daily on week days.
Initial download of the metrics may take a while.