Free Access
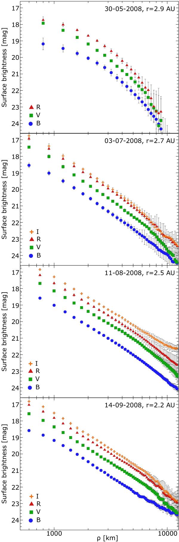
Fig. 2

Surface brightness profiles for comet 67P from May 2008 (top) to September 2008 (bottom), plotted as magnitude vs. ρ, the distance from the nucleus in km. Most error bars are smaller than the symbols.
Current usage metrics show cumulative count of Article Views (full-text article views including HTML views, PDF and ePub downloads, according to the available data) and Abstracts Views on Vision4Press platform.
Data correspond to usage on the plateform after 2015. The current usage metrics is available 48-96 hours after online publication and is updated daily on week days.
Initial download of the metrics may take a while.