Free Access

Fig. 1

thumbnail

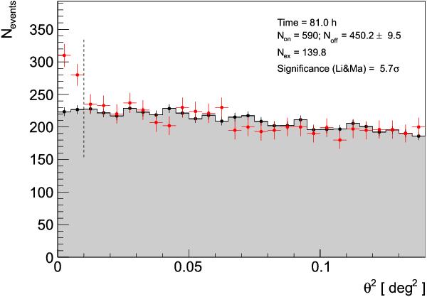
Distribution of squared angular distance, θ2, between the reconstructed arrival directions of γ-ray candidate events and the position of PSR 0205+6449 (red points). The distribution of θ2 for the OFF positions is also shown (gray filled histogram). The vertical dashed line defines the signal region ( deg2), Non is the number of events in the source region, Noff is the number of background events, estimated from the background regions and Nex = Non-Noff is the number of excess events.

Current usage metrics show cumulative count of Article Views (full-text article views including HTML views, PDF and ePub downloads, according to the available data) and Abstracts Views on Vision4Press platform.

Data correspond to usage on the plateform after 2015. The current usage metrics is available 48-96 hours after online publication and is updated daily on week days.

Initial download of the metrics may take a while.