Free Access

Fig. 11

thumbnail

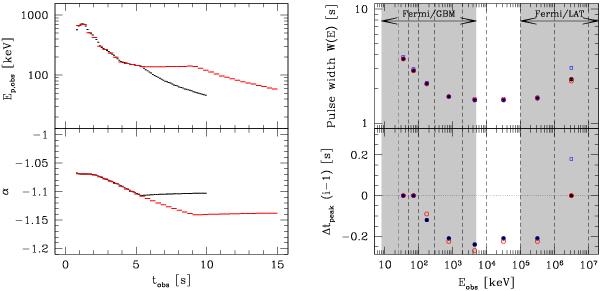
Impact of a varying accelerated electron fraction ζ: spectral evolution – pulse width and time lags. Curves are plotted for Case B with a varying parameter ζ during internal shocks (see text), either with the same ejection duration as in the reference Case B (black) or with an extended high-Lorentz factor tail in the ejecta (red): see Sect. 5.1. For the first case (black, 2 s duration for the ejection), the corresponding spectra and light curves are plotted in Fig. 8 and in the right panel of Fig. 10. Left panel: the time evolution of the peak energy and the low-energy photon index. The dashed vertical line indicates the start of the high-latitude emission. Right panel: evolution of the pulse width and time lags, as in Fig. 3.

This figure is made of several images, please see below:

Current usage metrics show cumulative count of Article Views (full-text article views including HTML views, PDF and ePub downloads, according to the available data) and Abstracts Views on Vision4Press platform.

Data correspond to usage on the plateform after 2015. The current usage metrics is available 48-96 hours after online publication and is updated daily on week days.

Initial download of the metrics may take a while.