Free Access

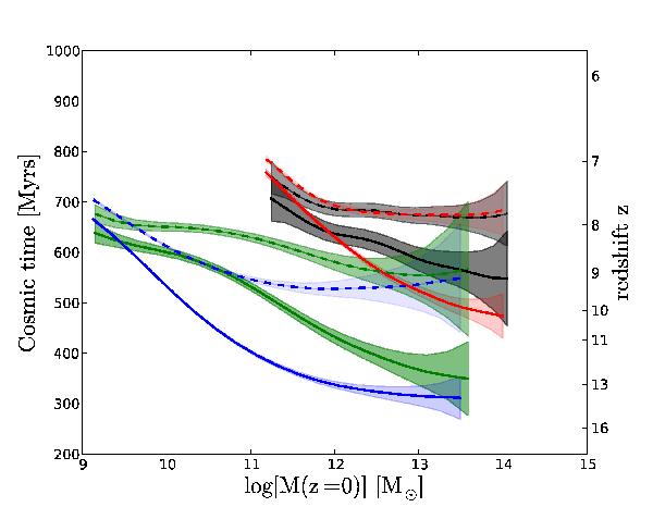
Fig. 8

thumbnail

Mean cosmic appearance time (solid lines) and mean redshift of a merger with the UV background (dashed lines) as a function of the mass of the most massive halo extrapolated at z = 0. Black and red curves stand for the star-based and halo-based model in the 200 Mpc/h simulation. Green and blue stand for the star-based and halo-based model in the 50 Mpc/h simulation. Shaded areas stand for the 3σ error on the average value.

Current usage metrics show cumulative count of Article Views (full-text article views including HTML views, PDF and ePub downloads, according to the available data) and Abstracts Views on Vision4Press platform.

Data correspond to usage on the plateform after 2015. The current usage metrics is available 48-96 hours after online publication and is updated daily on week days.

Initial download of the metrics may take a while.