Free Access

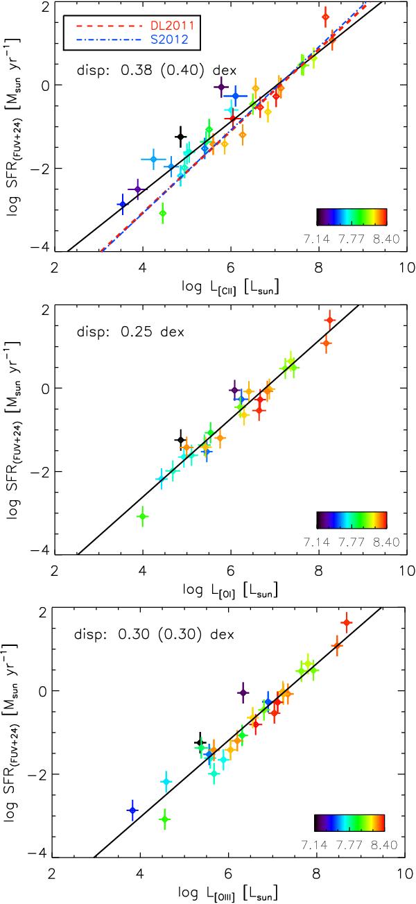
Fig. 6

thumbnail

Relation between the SFR and [Cii] (top), [Oi]63 (middle), and [Oiii]88 (bottom) luminosities on global galaxy scales. Galaxies are color-coded according to metallicity with increasing oxygen abundances ranging from black then blue, green and yellow to red colors. The best-fit SFR calibration is presented as a solid, black line. The dispersion of data points around the SFR calibration is indicated at the top of each panel, with the number in parentheses indicating the scatter for the complete sample with >5σ detections for all three lines.

This figure is made of several images, please see below:

Current usage metrics show cumulative count of Article Views (full-text article views including HTML views, PDF and ePub downloads, according to the available data) and Abstracts Views on Vision4Press platform.

Data correspond to usage on the plateform after 2015. The current usage metrics is available 48-96 hours after online publication and is updated daily on week days.

Initial download of the metrics may take a while.