Free Access

Fig. 10

thumbnail

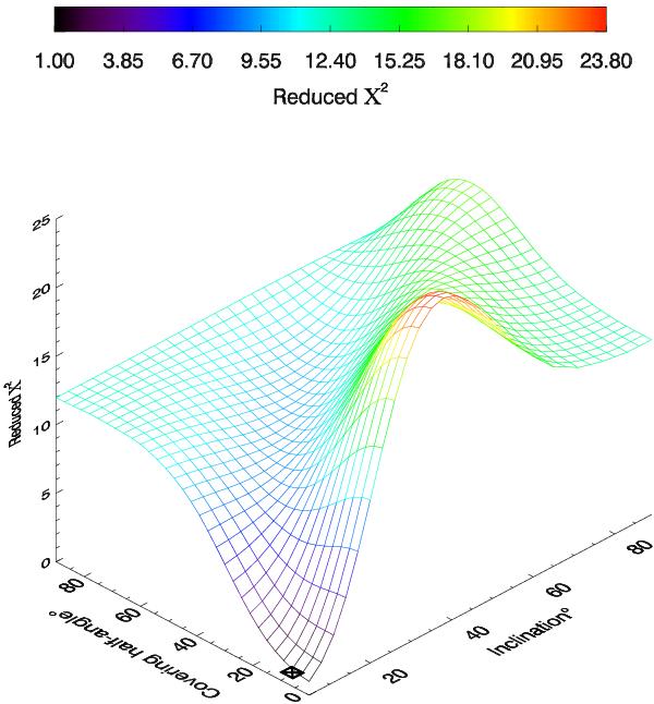
Distribution of reduced χ2 values for inclination i and covering half-angle α of disk-like BLR models for 3C 120. The inclination starts at i = 5° (and not at i = 0°), and the grid is in steps of 3° for both i and α. The black crossed square marks the place of the minimum χ2 found at i = 5° and α = 10°. The inner and outer radius of the disks is 22 days and 28 days, respectively.

Current usage metrics show cumulative count of Article Views (full-text article views including HTML views, PDF and ePub downloads, according to the available data) and Abstracts Views on Vision4Press platform.

Data correspond to usage on the plateform after 2015. The current usage metrics is available 48-96 hours after online publication and is updated daily on week days.

Initial download of the metrics may take a while.