Free Access

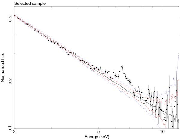
Fig. 4

thumbnail

Average spectrum. The data points represent the data, the continuous line the simulated continuum, the dashed red lines and the dotted green lines represent the one- and two-sigma confidence lines of the simulations.

Current usage metrics show cumulative count of Article Views (full-text article views including HTML views, PDF and ePub downloads, according to the available data) and Abstracts Views on Vision4Press platform.

Data correspond to usage on the plateform after 2015. The current usage metrics is available 48-96 hours after online publication and is updated daily on week days.

Initial download of the metrics may take a while.