Free Access

Fig. 1

thumbnail

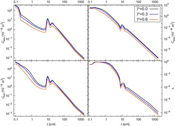
Absorption, scattering, and extinction cross-sections (Cabs, top left; Csca, top right; Cext, bottom left), and albedo Λ (bottom right) of porous dust grains. The quantities are averaged based on the distribution of the particle radii, which follows a power law of dna-3.5 da with a ∈ [5,250]nm. The material is astronomical silicate.

Current usage metrics show cumulative count of Article Views (full-text article views including HTML views, PDF and ePub downloads, according to the available data) and Abstracts Views on Vision4Press platform.

Data correspond to usage on the plateform after 2015. The current usage metrics is available 48-96 hours after online publication and is updated daily on week days.

Initial download of the metrics may take a while.