Free Access

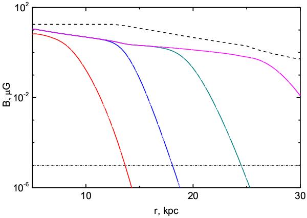
Fig. 4

thumbnail

Growth of an initial large-scale field concentrated in the inner parts of the disc. Solid curves from bottom to top show t = 2, 5, 10, 20 Gyr; the dashed curve shows the equipartition field strength; the dot-dashed line shows the field strength for which the speed of propagation is estimated. See text.

Current usage metrics show cumulative count of Article Views (full-text article views including HTML views, PDF and ePub downloads, according to the available data) and Abstracts Views on Vision4Press platform.

Data correspond to usage on the plateform after 2015. The current usage metrics is available 48-96 hours after online publication and is updated daily on week days.

Initial download of the metrics may take a while.