Free Access

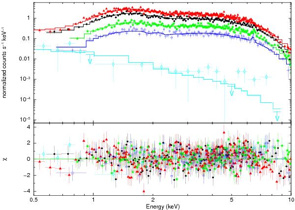
Fig. 5

thumbnail

Swift/XRT spectra for all the observations. For clarity, the spectra have been grouped with a minimum of 25 counts per bin. ObsID 001 data poins are denoted as black circles, ObsID 002 as red triangles, ObsID 003 as light green stars, ObsID 004 as dark blue open squares, and ObSID 005 as turquoise diamonds.

Current usage metrics show cumulative count of Article Views (full-text article views including HTML views, PDF and ePub downloads, according to the available data) and Abstracts Views on Vision4Press platform.

Data correspond to usage on the plateform after 2015. The current usage metrics is available 48-96 hours after online publication and is updated daily on week days.

Initial download of the metrics may take a while.