Free Access

Fig. 10

thumbnail

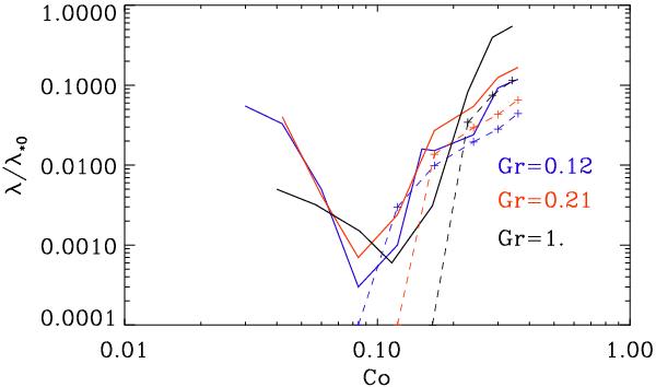
Normalized growth rate of the combined NEMPI and dynamo instability (solid lines) together with cases with pure dynamo instability (no imposed field, dashed lines) versus Co for three different values of Gr; Gr = 0.12 (blue), Gr = 0.21 (red), and Gr = 1.0 (black). In these simulations and (blue line), , (red line), and , (black line).

Current usage metrics show cumulative count of Article Views (full-text article views including HTML views, PDF and ePub downloads, according to the available data) and Abstracts Views on Vision4Press platform.

Data correspond to usage on the plateform after 2015. The current usage metrics is available 48-96 hours after online publication and is updated daily on week days.

Initial download of the metrics may take a while.