Free Access

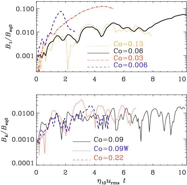
Fig. 4

thumbnail

Comparison of the evolution of Bk/Beq0 for runs with different values of Co. In the first panel k/k1 = 1, while in the second panel k/k1 = 2 for the two runs with Co = 0.09 (label W refers to the wider box in the x direction), and k/k1 = 1 for the run with Co = 0.22.

Current usage metrics show cumulative count of Article Views (full-text article views including HTML views, PDF and ePub downloads, according to the available data) and Abstracts Views on Vision4Press platform.

Data correspond to usage on the plateform after 2015. The current usage metrics is available 48-96 hours after online publication and is updated daily on week days.

Initial download of the metrics may take a while.