Free Access

Fig. 8

thumbnail

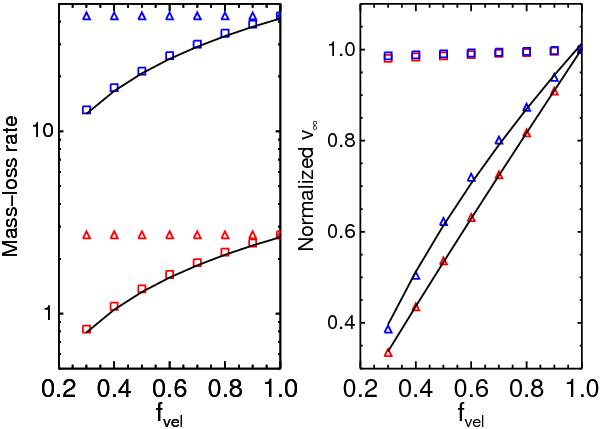
Mass-loss rates in units of 10-6 M/ yr (on a logarithmic scale) and terminal speeds in units of ν in standard, non-vorous finite-disc models. The triangles and squares denote hydrodynamical calculations (described in text) with vorosity onset radii rvor = 1.3 R>rcp (triangles) and rvor = 1.01 R<rcp (squares). Blue symbols assume α = 0.5 and red symbols α = 0.65. The black solid lines then use the corresponding analytic formulae described in text to predict the mass-loss rate and terminal speed scalings.

Current usage metrics show cumulative count of Article Views (full-text article views including HTML views, PDF and ePub downloads, according to the available data) and Abstracts Views on Vision4Press platform.

Data correspond to usage on the plateform after 2015. The current usage metrics is available 48-96 hours after online publication and is updated daily on week days.

Initial download of the metrics may take a while.