Free Access

Fig. 6

thumbnail

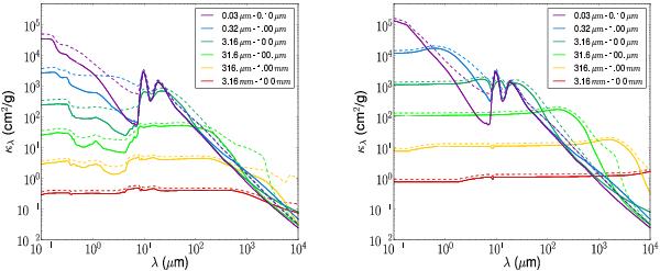
Mass absorption (left) and total extinction (right) coefficients of the mixtures used in this work. Our “standard” mixture (full lines) contains 15% metallic iron, while the alternative mixture (dashed lines) has 15% amorphous carbon instead. The latter composition is exactly the same as that used by Mulders & Dominik (2012). Only six grain sizes are shown for clarity.

This figure is made of several images, please see below:

Current usage metrics show cumulative count of Article Views (full-text article views including HTML views, PDF and ePub downloads, according to the available data) and Abstracts Views on Vision4Press platform.

Data correspond to usage on the plateform after 2015. The current usage metrics is available 48-96 hours after online publication and is updated daily on week days.

Initial download of the metrics may take a while.