Free Access

Fig. 11

thumbnail

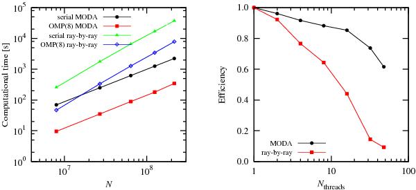
Performance comparison between MODA and the RbR algorithm. Left: computational time as a function of the effective number of cells N, obtained with both the serial codes and their OpenMP versions using 8 threads. Right: computational efficiency as a function of the number of OpenMP threads. For these parallelization tests, the dimension of the computational domain is fixed at N = 4003.

Current usage metrics show cumulative count of Article Views (full-text article views including HTML views, PDF and ePub downloads, according to the available data) and Abstracts Views on Vision4Press platform.

Data correspond to usage on the plateform after 2015. The current usage metrics is available 48-96 hours after online publication and is updated daily on week days.

Initial download of the metrics may take a while.