Free Access

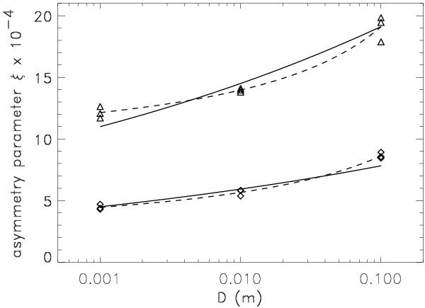
Fig. 4

thumbnail

Dependency of asymmetry parameter ξ on meteoroid size for three gas ejection models (see Sect. 3.2) and two types of gas-meteoroid interaction. The diamonds correspond to numerical results for diffuse reflection and the triangles the specular reflection of gas molecules from the meteoroid’s surface. The solid and dashed lines represent interpolation of the size dependency (see the text).

Current usage metrics show cumulative count of Article Views (full-text article views including HTML views, PDF and ePub downloads, according to the available data) and Abstracts Views on Vision4Press platform.

Data correspond to usage on the plateform after 2015. The current usage metrics is available 48-96 hours after online publication and is updated daily on week days.

Initial download of the metrics may take a while.