Free Access

Fig. 5

thumbnail

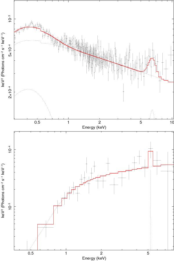
Example X-ray spectra. Upper panel: NLS1 candidate (SRCID 28357) fitted with a power-law plus a blackbody component for the soft excess and a Gaussian component for the Fe line. Lower panel: a narrow source (SRCID 3173) fitted with a Gaussian component (Fe line) in addition to an absorbed power law. The dashed lines represent the separate model components while the red line is the resulting best fit model.

This figure is made of several images, please see below:

Current usage metrics show cumulative count of Article Views (full-text article views including HTML views, PDF and ePub downloads, according to the available data) and Abstracts Views on Vision4Press platform.

Data correspond to usage on the plateform after 2015. The current usage metrics is available 48-96 hours after online publication and is updated daily on week days.

Initial download of the metrics may take a while.