Free Access

Fig. 16

thumbnail

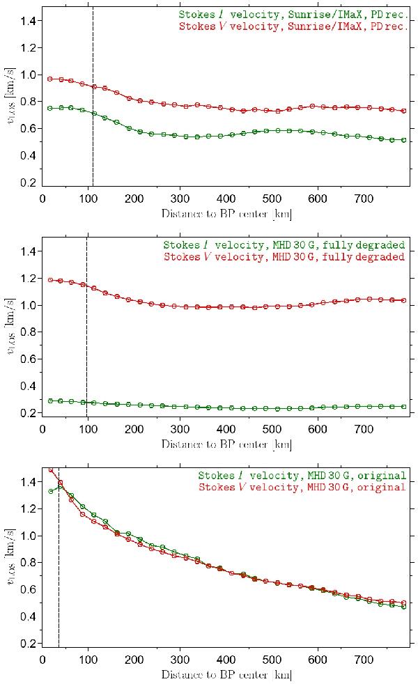
LOS velocity as retrieved from a Gaussian fit to the Stokes I profile (green lines) and from the Stokes V zero crossing (red lines) of the reconstructed IMaX observations (top panel), degraded (middle panel), and original (bottom panel) 30 G MHD simulations as a function of the distance to the BP center. The dashed black lines are the same as in Fig. 14.

Current usage metrics show cumulative count of Article Views (full-text article views including HTML views, PDF and ePub downloads, according to the available data) and Abstracts Views on Vision4Press platform.

Data correspond to usage on the plateform after 2015. The current usage metrics is available 48-96 hours after online publication and is updated daily on week days.

Initial download of the metrics may take a while.