Free Access

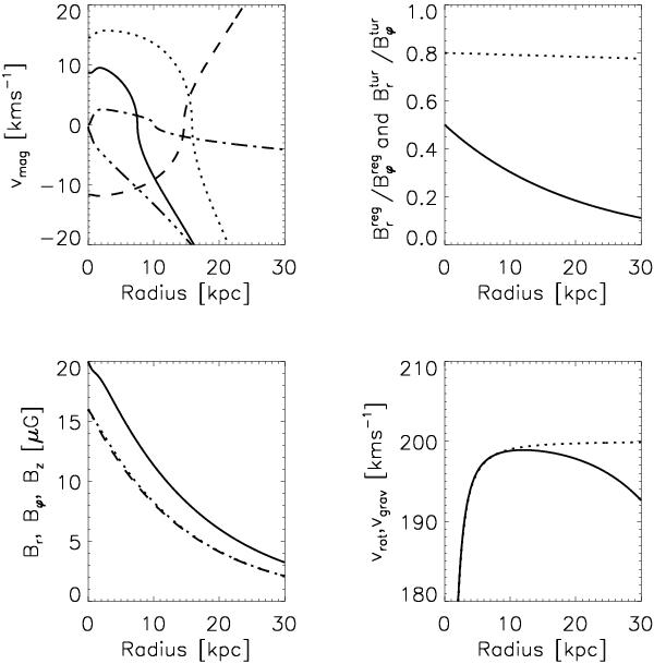
Fig. 1

thumbnail

Typical spiral including a turbulent field. Upper-left panel: the contributions to the magnetic velocity (solid) are from the total field of Bϕ (dotted), Br (dashed), Bz (dash dot dot), and the BrBz term (dash dot) of the regular field only. Upper-right panel: radial dependence of the pitch angle for the regular field (solid) and the anisotropy qiso of the turbulent field (dotted). Lower-left panel: radial profiles of total magnetic field components Bϕ (solid), Br (dotted), and Bz (dashed) (the last two components are almost identical). Lower-right panel: rotation modified by the Lorentz force (solid) and from the gravitation only (dotted).

Current usage metrics show cumulative count of Article Views (full-text article views including HTML views, PDF and ePub downloads, according to the available data) and Abstracts Views on Vision4Press platform.

Data correspond to usage on the plateform after 2015. The current usage metrics is available 48-96 hours after online publication and is updated daily on week days.

Initial download of the metrics may take a while.