Free Access

Fig. 2

thumbnail

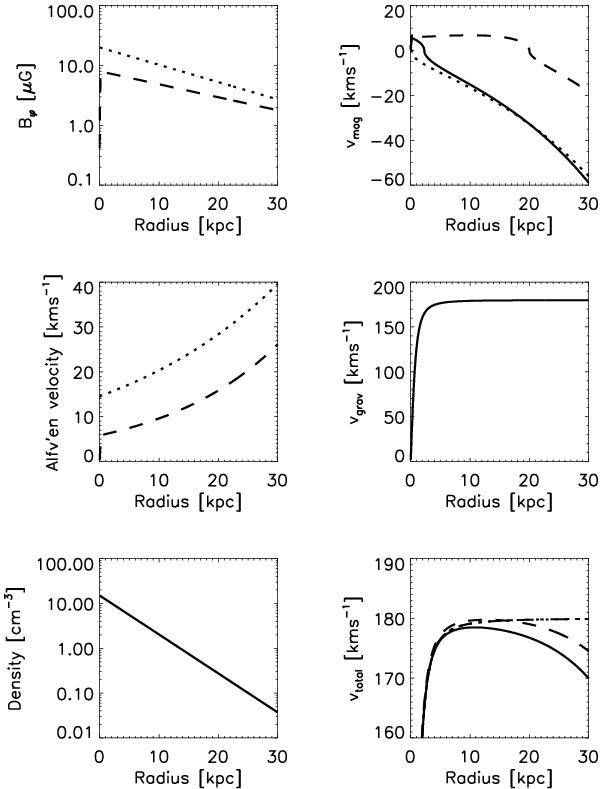
NGC 6946: upper panels: dotted lines denote the turbulent magnetic field and dashed lines the regular field. Upper right panel: magnetic velocity vmag for the total field (solid line). Lower right panel: resulting total circular velocity is plotted (solid). The dashed line indicates the rotation velocity neglecting the turbulent field.

Current usage metrics show cumulative count of Article Views (full-text article views including HTML views, PDF and ePub downloads, according to the available data) and Abstracts Views on Vision4Press platform.

Data correspond to usage on the plateform after 2015. The current usage metrics is available 48-96 hours after online publication and is updated daily on week days.

Initial download of the metrics may take a while.