Free Access

Fig. 10

thumbnail

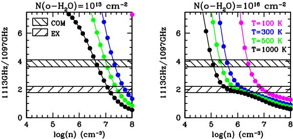
Radex predictions for the ratio between the p-H2O (111 − 000) (at 1113 GHz) and the o-H2O (312 − 303) (at 1097 GHz) lines as a function of the H2 density for four values of kinetic temperature (100, 300, 500, and 1000 K) and two values of o-H2O column density (1013 and 1016 cm-2). The shaded bands represent the water ratios observed for the compact and extended components at R2, i.e., the R2 position and a position (10′′, 10′′) offset from R2. The HIFI water line intensities are integrated in the line wings, between 10 and 60 km s-1, at the original angular resolution of the spectra (19′′).

Current usage metrics show cumulative count of Article Views (full-text article views including HTML views, PDF and ePub downloads, according to the available data) and Abstracts Views on Vision4Press platform.

Data correspond to usage on the plateform after 2015. The current usage metrics is available 48-96 hours after online publication and is updated daily on week days.

Initial download of the metrics may take a while.