Free Access

Fig. 3

thumbnail

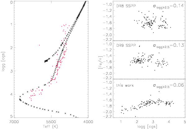
Analysis of the stars belonging to the globular cluster M 13. The left panel compares the stars (red dots) with an isochrone (black asterisks) at 10.0 Gy and Z = 0.0004 from Girardi et al. (2002). In the right panel [Fe/H] vs. log g values from the SSPP in DR8 and DR9 are plotted at the top; the bottom panel is the same plot for our results, which shows evidence of a systematic decrease in the metallicity with the surface gravity at log < 2.5 but a significant improvement in precision over the SSPP results.

This figure is made of several images, please see below:

Current usage metrics show cumulative count of Article Views (full-text article views including HTML views, PDF and ePub downloads, according to the available data) and Abstracts Views on Vision4Press platform.

Data correspond to usage on the plateform after 2015. The current usage metrics is available 48-96 hours after online publication and is updated daily on week days.

Initial download of the metrics may take a while.