Free Access

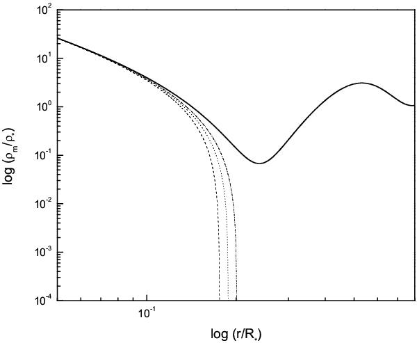
Fig. 3

thumbnail

Dimensionless matter density profiles for equilibrium configurations with W0 = 12 and (dashed line), 0.3 (dotted line), 0.5 (dash-dotted line), for which the matter density converges to zero, and (solid line), chosen inside the region of non-equilibrium solutions.

Current usage metrics show cumulative count of Article Views (full-text article views including HTML views, PDF and ePub downloads, according to the available data) and Abstracts Views on Vision4Press platform.

Data correspond to usage on the plateform after 2015. The current usage metrics is available 48-96 hours after online publication and is updated daily on week days.

Initial download of the metrics may take a while.