Free Access

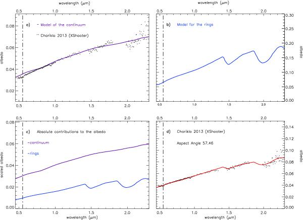
Fig. 4

thumbnail

Modeling of the spectrum of Chariklo and rings in 2013: a) model of the continuum superimposed to the observed spectra in 2013; b) model for the rings; c) absolute contribution of each part, continuum and rings; d) final model for the spectrum of the system in 2013.

Current usage metrics show cumulative count of Article Views (full-text article views including HTML views, PDF and ePub downloads, according to the available data) and Abstracts Views on Vision4Press platform.

Data correspond to usage on the plateform after 2015. The current usage metrics is available 48-96 hours after online publication and is updated daily on week days.

Initial download of the metrics may take a while.