Free Access

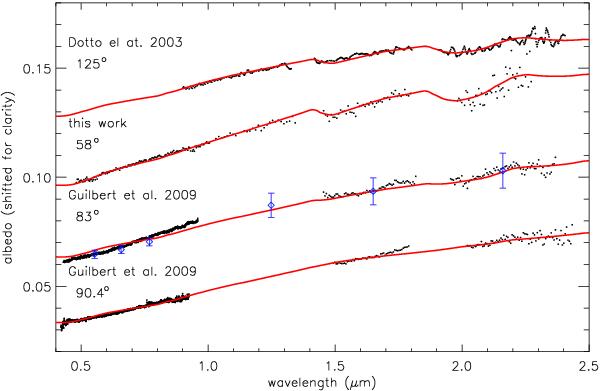
Fig. 5

thumbnail

Models for a set of spectra showing variability. Parameters are shown in Table 4. Each spectrum is labeled with the reference and the aspect angle of the system of rings at the date of the observations.

Current usage metrics show cumulative count of Article Views (full-text article views including HTML views, PDF and ePub downloads, according to the available data) and Abstracts Views on Vision4Press platform.

Data correspond to usage on the plateform after 2015. The current usage metrics is available 48-96 hours after online publication and is updated daily on week days.

Initial download of the metrics may take a while.