Free Access

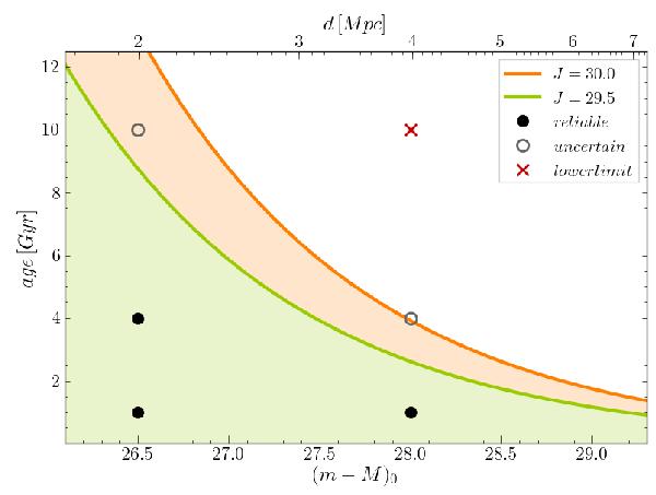
Fig. 11

thumbnail

Age of the oldest MSTO detectable as a function of the target distance. We show the results obtained adopting a detection magnitude limit of 30.0 and 29.5 in the J-band. These are the magnitudes corresponding to the 50% and 80% photometric completeness level.

Current usage metrics show cumulative count of Article Views (full-text article views including HTML views, PDF and ePub downloads, according to the available data) and Abstracts Views on Vision4Press platform.

Data correspond to usage on the plateform after 2015. The current usage metrics is available 48-96 hours after online publication and is updated daily on week days.

Initial download of the metrics may take a while.