Free Access

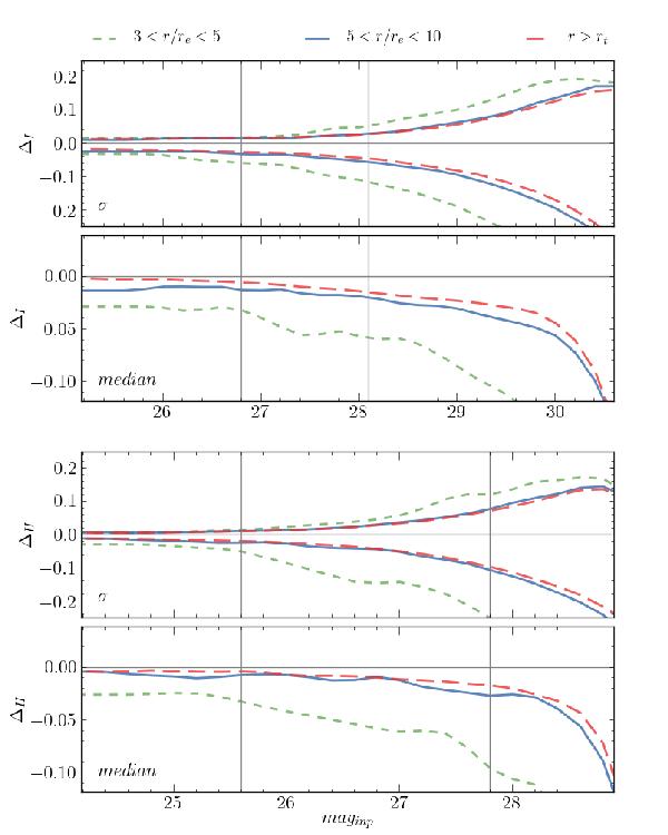
Fig. 3

thumbnail

Photometric errors in the simulation at 2 Mpc with the 1 Gyr old clusters in I and H-band. The first and third panels from the top show the σ+ (upper curves) and σ (lower curves) values for each radial distance bin. The other two panels show the median error. The two vertical lines show the magnitude of the RC and the MSTO.

Current usage metrics show cumulative count of Article Views (full-text article views including HTML views, PDF and ePub downloads, according to the available data) and Abstracts Views on Vision4Press platform.

Data correspond to usage on the plateform after 2015. The current usage metrics is available 48-96 hours after online publication and is updated daily on week days.

Initial download of the metrics may take a while.