Free Access

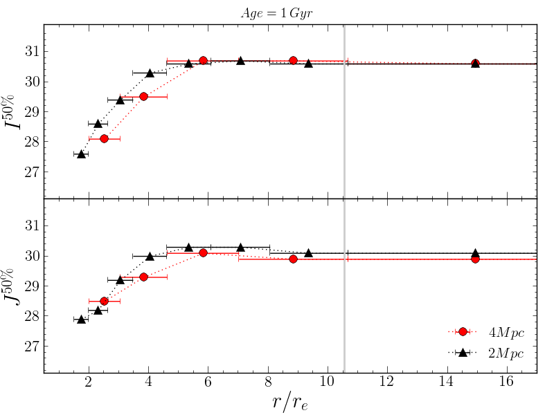
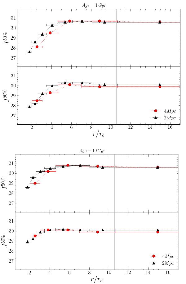
Fig. 6

thumbnail

The 50% completeness magnitude as a function of the radial distance from the NSC centre. The vertical line is the NSC tidal radius. Results for the simulations with the 1 and 10 Gyr old clusters are shown in the upper and lower panels respectively.

This figure is made of several images, please see below:

Current usage metrics show cumulative count of Article Views (full-text article views including HTML views, PDF and ePub downloads, according to the available data) and Abstracts Views on Vision4Press platform.

Data correspond to usage on the plateform after 2015. The current usage metrics is available 48-96 hours after online publication and is updated daily on week days.

Initial download of the metrics may take a while.