Free Access

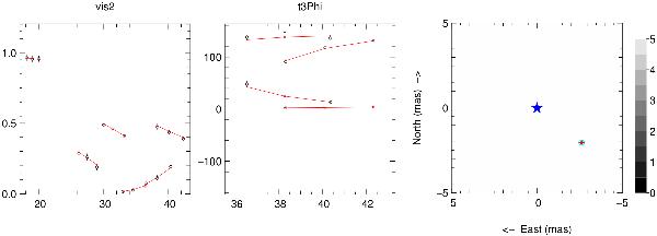
Fig. 2

thumbnail

Visibilities (left panel), closure phase (middle panel) and χ2 map of the Feb 28 PIONIER observation of HD 152246. The best-fit binary model is overlaid.

Current usage metrics show cumulative count of Article Views (full-text article views including HTML views, PDF and ePub downloads, according to the available data) and Abstracts Views on Vision4Press platform.

Data correspond to usage on the plateform after 2015. The current usage metrics is available 48-96 hours after online publication and is updated daily on week days.

Initial download of the metrics may take a while.