Free Access

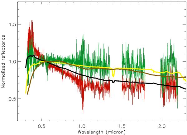
Fig. 4

thumbnail

Spectra of 2001 SN263 (A and B, colors as in Fig 2), compared with those of CV3 Allende (in brown, RELAB sample MT-BEC-092-A), heated antigorite (in yellow, RELAB sample AT-TXH-006), antigorite mixed with lampblack (in black, RELAB sample XT-TXH-056).

Current usage metrics show cumulative count of Article Views (full-text article views including HTML views, PDF and ePub downloads, according to the available data) and Abstracts Views on Vision4Press platform.

Data correspond to usage on the plateform after 2015. The current usage metrics is available 48-96 hours after online publication and is updated daily on week days.

Initial download of the metrics may take a while.