Free Access

Fig. 10

thumbnail

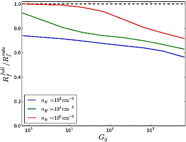
Integrated formation rate Rf (ER mechanism) over a full dust size distribution (see Table 3) as a fraction of the equilibrium rate equation result. The result is shown for three different gas densities (thus changing the collision rate) as a function of the radiation field intensity.

Current usage metrics show cumulative count of Article Views (full-text article views including HTML views, PDF and ePub downloads, according to the available data) and Abstracts Views on Vision4Press platform.

Data correspond to usage on the plateform after 2015. The current usage metrics is available 48-96 hours after online publication and is updated daily on week days.

Initial download of the metrics may take a while.