Free Access

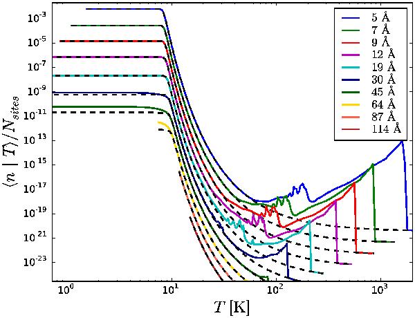
Fig. C.1

thumbnail

Approximated n|T (dashed lines) for the LH mechanism compared to the exact results (solid lines). Model with gas density n = 103 cm-3 and G0 = 20 with barrier and binding energies for ices. For clarity, each successive curve has been shifted by a factor of ten.

Current usage metrics show cumulative count of Article Views (full-text article views including HTML views, PDF and ePub downloads, according to the available data) and Abstracts Views on Vision4Press platform.

Data correspond to usage on the plateform after 2015. The current usage metrics is available 48-96 hours after online publication and is updated daily on week days.

Initial download of the metrics may take a while.