Free Access

Fig. 6

thumbnail

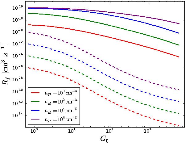
Integrated formation rate parameter Rf (LH mechanism) for a carbonaceous dust population (see Table 3) as a function of the radiation field intensity G0 for different gas densities (the gas temperature is fixed at 100 K). Solid lines: full computation. Dashed lines: equilibrium rate equation results. Binding and barrier energies corresponding to ices.

Current usage metrics show cumulative count of Article Views (full-text article views including HTML views, PDF and ePub downloads, according to the available data) and Abstracts Views on Vision4Press platform.

Data correspond to usage on the plateform after 2015. The current usage metrics is available 48-96 hours after online publication and is updated daily on week days.

Initial download of the metrics may take a while.