Free Access

Fig. 2

thumbnail

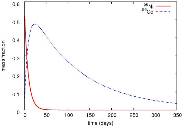
Time-dependent evolution of the mass fraction of 56Ni and 56Co. The decay of these nuclei is the dominant source of energy for the light emitted by SN Ia. Because the half-life of 56Ni to 56Co is very short (6.1 days), this decay is only important in the first 50 days. 56Co, on the other hand, decays to the stable nucleus 56Fe within a much longer half-life (77.3 days) and is therefore the dominant source of energy for a period of 2 to 3 years.

Current usage metrics show cumulative count of Article Views (full-text article views including HTML views, PDF and ePub downloads, according to the available data) and Abstracts Views on Vision4Press platform.

Data correspond to usage on the plateform after 2015. The current usage metrics is available 48-96 hours after online publication and is updated daily on week days.

Initial download of the metrics may take a while.