Free Access

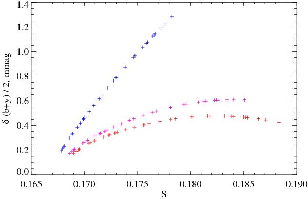
Fig. 7

thumbnail

Simulated values of the photometric brightness change δ(b + y)/2 vs. S-index for the Sun observed from three different directions. Plotted are the annual values as they would be measured from the equatorial plane (red crosses), a 57° inclination (magenta crosses), and from the solar rotational axis (blue crosses).

Current usage metrics show cumulative count of Article Views (full-text article views including HTML views, PDF and ePub downloads, according to the available data) and Abstracts Views on Vision4Press platform.

Data correspond to usage on the plateform after 2015. The current usage metrics is available 48-96 hours after online publication and is updated daily on week days.

Initial download of the metrics may take a while.