Free Access

Fig. 1

thumbnail

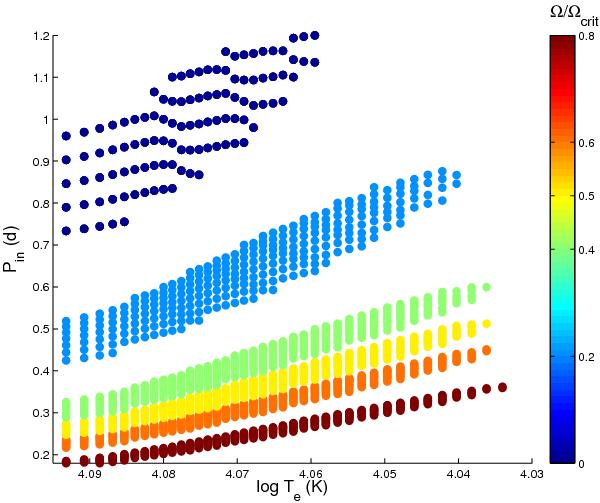
Inertial period of unstable modes in the 2.9 M model during its evolution on the MS, represented through the evolution of its effective temperature. The colours distinguish the different rotation rates we consider. Their values are given in the legend to the right. Only 1 PS modes are destabilised, regardless of the rotation rate.

Current usage metrics show cumulative count of Article Views (full-text article views including HTML views, PDF and ePub downloads, according to the available data) and Abstracts Views on Vision4Press platform.

Data correspond to usage on the plateform after 2015. The current usage metrics is available 48-96 hours after online publication and is updated daily on week days.

Initial download of the metrics may take a while.