Free Access

Fig. 2

thumbnail

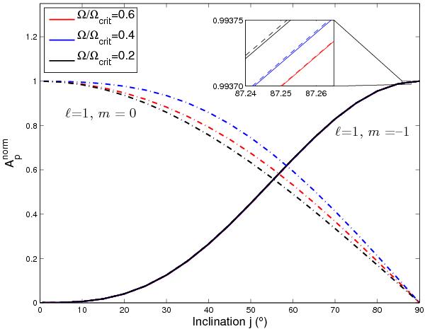
Normalised amplitudes, , as a function of the inclination. The continuous line represents the 1,k-16,m-1 unstable mode of the 2.9 M model. Dashed and dot-dashed lines show the 1,k-16,m-1 and 1,k-12,m0 unstable modes of the 3.2 M model, respectively. Both models are ~20 Myr old. Black, blue, and red colours correspond to rotations of 0.20, 0.40, and 0.60 Ωcrit, respectively. The largest amplitudes, maxAp(θ), reached by each mode are used for the normalisation.

Current usage metrics show cumulative count of Article Views (full-text article views including HTML views, PDF and ePub downloads, according to the available data) and Abstracts Views on Vision4Press platform.

Data correspond to usage on the plateform after 2015. The current usage metrics is available 48-96 hours after online publication and is updated daily on week days.

Initial download of the metrics may take a while.