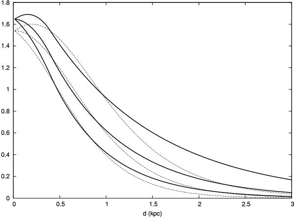
Fig. 7

Comparison of the best-fit thick-disc vertical density law from shape A (solid line) and shape B (dashed line) in three directions. Top lines are for l = 0°, b = 45°; middle lines for l = 180°, b = 45°; bottom lines for the north Galactic pole.
Current usage metrics show cumulative count of Article Views (full-text article views including HTML views, PDF and ePub downloads, according to the available data) and Abstracts Views on Vision4Press platform.
Data correspond to usage on the plateform after 2015. The current usage metrics is available 48-96 hours after online publication and is updated daily on week days.
Initial download of the metrics may take a while.