Free Access

Fig. 4

thumbnail

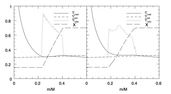
Hydrogen profile (long dashed line), radiative (solid line), adiabatic (dashed line) and Ledoux (dotted line) temperature gradients for the MS model of 16 M displayed in solid line in Fig. 3, correctly computed (left panel) and computed with the method discussed in Sect. 4 (right panel), using in both cases the Ledoux criterion.

Current usage metrics show cumulative count of Article Views (full-text article views including HTML views, PDF and ePub downloads, according to the available data) and Abstracts Views on Vision4Press platform.

Data correspond to usage on the plateform after 2015. The current usage metrics is available 48-96 hours after online publication and is updated daily on week days.

Initial download of the metrics may take a while.