Free Access

Fig. 8

thumbnail

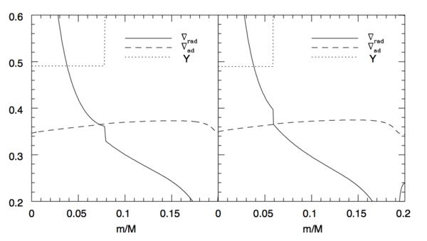
Helium profile (dotted line), radiative (full line) and adiabatic (dashed line) temperature gradients for the core He-burning model of 8 M displayed in solid line in Fig. 7, correctly computed (left panel) and computed with the method discussed in Sect. 4 (right panel).

Current usage metrics show cumulative count of Article Views (full-text article views including HTML views, PDF and ePub downloads, according to the available data) and Abstracts Views on Vision4Press platform.

Data correspond to usage on the plateform after 2015. The current usage metrics is available 48-96 hours after online publication and is updated daily on week days.

Initial download of the metrics may take a while.