Free Access

Fig. 3

thumbnail

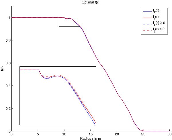
Radial cut of the attenuation of the functions f(r) for aperture and focal optimization at a wavelength of 562 nm. The dashed curves denoted as 0 correspond to an optimization with α0 constraint.

Current usage metrics show cumulative count of Article Views (full-text article views including HTML views, PDF and ePub downloads, according to the available data) and Abstracts Views on Vision4Press platform.

Data correspond to usage on the plateform after 2015. The current usage metrics is available 48-96 hours after online publication and is updated daily on week days.

Initial download of the metrics may take a while.