Free Access

Fig. 4

thumbnail

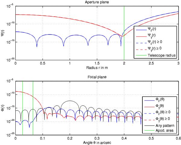
Top curves: intensity in the telescope aperture plane for an optimization that minimizes the integrated intensity Γ in the aperture plane (blue curve) or γ for optimizing the observation between 0.1 and 0.5 arcsec in the focal plane (red curve), for λ = 562 nm. Note the apodization profile for the γ curve and the inversion of relative position of the curves outside the region of optimization. Bottom curves: focal plane intensity obtained for the two optimizations. An airy pattern corresponding to a 10-12 fainter exoplanet in the observation area is reported in black. The apodization area defined by the smallest and largest radius of the occulter is also reported in green. Note the inversion of behavior of curves with regard to the overall occulter profile.

Current usage metrics show cumulative count of Article Views (full-text article views including HTML views, PDF and ePub downloads, according to the available data) and Abstracts Views on Vision4Press platform.

Data correspond to usage on the plateform after 2015. The current usage metrics is available 48-96 hours after online publication and is updated daily on week days.

Initial download of the metrics may take a while.