Free Access

Fig. 6

thumbnail

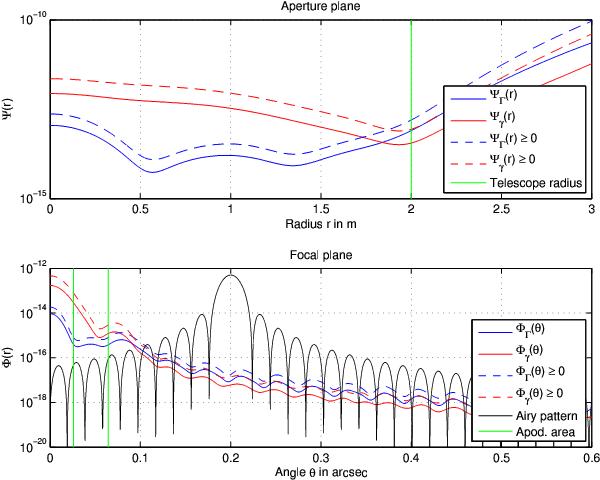
Same representation as in Fig. 4, but for an optimization made for the whole spectral bandwidth between 380 nm and 750 nm. The behavior of the inversion of the curves is similar to the monochromatic case, although it is somewhat reduced by the effect of the chromatism.

Current usage metrics show cumulative count of Article Views (full-text article views including HTML views, PDF and ePub downloads, according to the available data) and Abstracts Views on Vision4Press platform.

Data correspond to usage on the plateform after 2015. The current usage metrics is available 48-96 hours after online publication and is updated daily on week days.

Initial download of the metrics may take a while.