Free Access

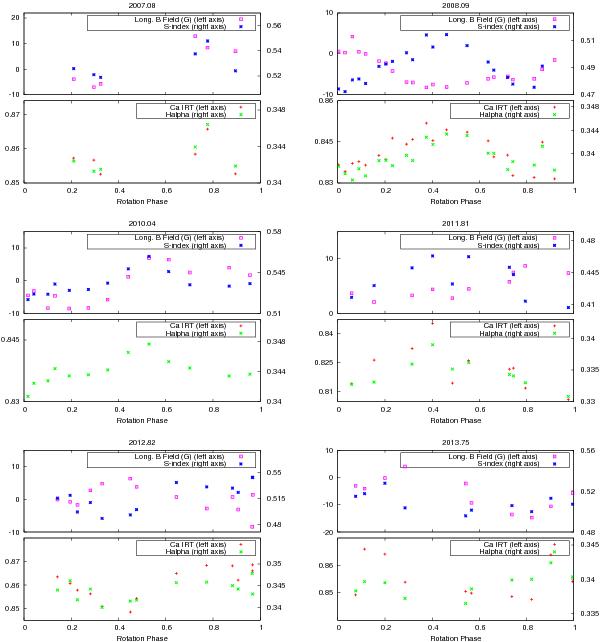
Fig. 1

thumbnail

For each epoch of observation, the variation of the longitudinal magnetic field (in Gauss, upper panel) and the variation of the magnetic proxies Ca II H&K (upper panel); Ca IRT-index and Hα-index (lower panel) as a function of stellar rotation phase. The S-index values for the Ca II H&K have been calibrated to match those from the Mount Wilson survey.

Current usage metrics show cumulative count of Article Views (full-text article views including HTML views, PDF and ePub downloads, according to the available data) and Abstracts Views on Vision4Press platform.

Data correspond to usage on the plateform after 2015. The current usage metrics is available 48-96 hours after online publication and is updated daily on week days.

Initial download of the metrics may take a while.