Free Access

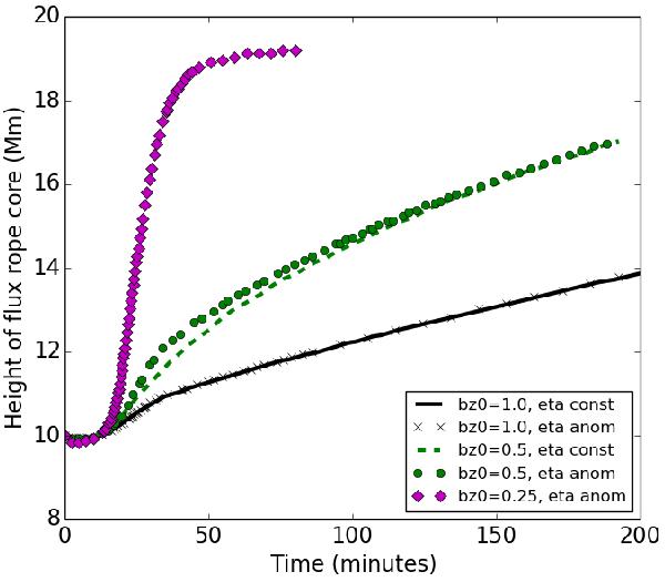
Fig. 8

thumbnail

Unstratified atmosphere. Height of flux rope center for a set of five simulations with varying magnitude of initial background magnetic guide field and resistivity models. Three values of the guide magnetic field bz0 = { 1.0,0.5,0.25 } and two resistivity models, one with labeled as “eta const”, and one with and jc = 10 labeled as “eta anom”, both using the constant background resistivity value ηbg = 10-5, are considered.

Current usage metrics show cumulative count of Article Views (full-text article views including HTML views, PDF and ePub downloads, according to the available data) and Abstracts Views on Vision4Press platform.

Data correspond to usage on the plateform after 2015. The current usage metrics is available 48-96 hours after online publication and is updated daily on week days.

Initial download of the metrics may take a while.