Free Access

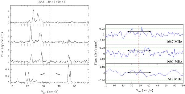
Fig. 1

thumbnail

Left: spectra of the H2O masers of IRAS 18455+0448 observed with the Effelsberg 100 m telescope (top three panels) and with the JVLA (bottom panel) at four different epochs (with different flux scales). From top to bottom, the epochs are 1213 November 2009, 2223 March 2011, 14 April 2011 and 6 June 2013. The arrows in the bottom panel indicate the spread of the previously observed OH masers and the vertical dashed line indicates the systemic velocity based on SiO maser observations. Right: confirmation of the disappearance of the OH masers at 1612, 1665 and 1667 MHz. The masers were observed with Effelsberg at 22 February 2010 (1665 and 1667 MHz) and 27 March 2010 (1612 MHz). The vertical dashed line indicated the systemic velocity and the horizontal dotted-dashed lines the 3σ noise limits. The arrows indicate the spread of OH masers observed by Lewis et al. (2001).

Current usage metrics show cumulative count of Article Views (full-text article views including HTML views, PDF and ePub downloads, according to the available data) and Abstracts Views on Vision4Press platform.

Data correspond to usage on the plateform after 2015. The current usage metrics is available 48-96 hours after online publication and is updated daily on week days.

Initial download of the metrics may take a while.