Free Access

Fig. 1

thumbnail

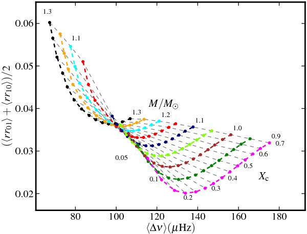
Asteroseismic diagram showing the run of (⟨ rr01 ⟩ + ⟨ rr10 ⟩ ) / 2 as a function of ⟨ Δν for stars with masses in the range 0.9−1.3 M during the MS. Models have been calculated with an initial helium abundance Y = 0.275, solar metallicity Z/X = 0.0245, and mixing-length parameter αconv = 0.60. Evolutionary stages with decreasing central hydrogen abundance Xc are pinpointed.

Current usage metrics show cumulative count of Article Views (full-text article views including HTML views, PDF and ePub downloads, according to the available data) and Abstracts Views on Vision4Press platform.

Data correspond to usage on the plateform after 2015. The current usage metrics is available 48-96 hours after online publication and is updated daily on week days.

Initial download of the metrics may take a while.