Free Access

Fig. 5

thumbnail

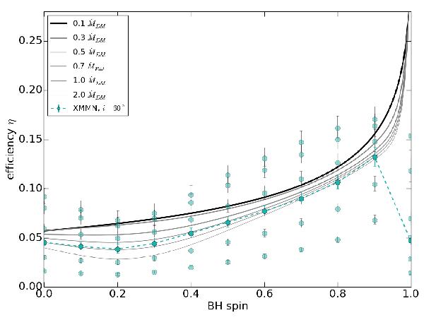
Slim disc efficiency. The solid lines indicate model efficiencies for a number of mass accretion rates. The black line corresponds to the standard thin disc efficiency. For HLX-1 we derive effective efficiencies from the fitted disc luminosity of the XMM-Newton spectrum and the observed unabsorbed 0.310 keV disc luminosity for selected inclinations (i = 0°, 30°, 50°, 60°, 70°, and 80°). The dashed line highlights the spin evolution of the effective efficiency for a disc with i = 60°. Error bars include the uncertainty in black hole mass and disc luminosity.

Current usage metrics show cumulative count of Article Views (full-text article views including HTML views, PDF and ePub downloads, according to the available data) and Abstracts Views on Vision4Press platform.

Data correspond to usage on the plateform after 2015. The current usage metrics is available 48-96 hours after online publication and is updated daily on week days.

Initial download of the metrics may take a while.